Chapter: Array
1. (Reverse the numbers entered) Write a program that reads ten integers and displays
them in the reverse of the order in which they were read.
2. (Analyze scores) Write a program that reads 10 scores and
determines how many scores are above or equal to the average and how many
scores are below the average.
3. (Analyze scores) Write a program that reads an unspecified number of scores and
determines how many scores are above or equal to the average and how many
scores are below the average. Enter a negative number to signify the end of the
input. Assume that the maximum number of scores is 100.
4. (Count single digits) Write a program that generates 100 random integers between
0 and 9 and displays the count for each number. (Hint: Use an array of ten integers,
say counts, to store the counts for the number of 0s, 1s, . . . , 9s.)
5. *(Assign grades) Write a program that reads student scores, gets the best score,
and then assigns grades based on the following scheme:
Grade is A if score is Ú best - 10
Grade is B if score is Ú best - 20;
Grade is C if score is Ú best - 30;
Grade is D if score is Ú best - 40;
Grade is F otherwise.
The program prompts the user to enter the total number of students, then prompts
the user to enter all of the scores, and concludes by displaying the grades. Here
is a sample run:
2/26/2018
2/21/2018
Bina fail PDF menggunakan PHP
1. Jika sistem 'online' pelajar memerlukan output dikeluarkan dalam bentuk PDF. Tutorial berikut mungkin berguna. http://www.fpdf.org/
2. fpdf bermaksud free pdf. Di sini (http://www.fpdf.org/) di sediakan fungsi-fungsi yang membolehkan kita membina fail PDF dengan PHP.
3. 'Code' berikut akan menghasilkan output berikut.
2. fpdf bermaksud free pdf. Di sini (http://www.fpdf.org/) di sediakan fungsi-fungsi yang membolehkan kita membina fail PDF dengan PHP.
3. 'Code' berikut akan menghasilkan output berikut.
4. Pelajar juga boleh mencari tutorial di youtube antaranya https://www.youtube.com/watch?v=Kid6Xrqf9-Y
5. Selamat mencuba.
2/20/2018
Autocomplete pada textbox
1. 'Autocomplete' ialah kebolehan sistem mencari dan mencadangkan perkataan-perkataan yang berkaitan semasa kita menaip. Ciri 'autocomplete' yang di sediakan oleh google sangat membantu pengguna.
2. Bila taip "php prog" pada textbox carian...beberapa cadangan yang berkaitan di paparkan secara automatik.
3. Pelajar yang membangunkan sistem online, yang melibatkan data yang banyak dari suatu table tentunya memerlukan ciri "autocomplete" ini.
4. Pengetahuan asas (hanya asas :) ) tentang jQuery, PHP and MySQL diperlukan untuk melaksanakan / menambahkan ciri ini pada sistem masing-masing.
5. Tutorial yang paling mudah yang saya jumpa adalah di https://www.codexworld.com/autocomplete-textbox-using-jquery-php-mysql/
6. Selamat mencuba.
2. Bila taip "php prog" pada textbox carian...beberapa cadangan yang berkaitan di paparkan secara automatik.
3. Pelajar yang membangunkan sistem online, yang melibatkan data yang banyak dari suatu table tentunya memerlukan ciri "autocomplete" ini.
4. Pengetahuan asas (hanya asas :) ) tentang jQuery, PHP and MySQL diperlukan untuk melaksanakan / menambahkan ciri ini pada sistem masing-masing.
5. Tutorial yang paling mudah yang saya jumpa adalah di https://www.codexworld.com/autocomplete-textbox-using-jquery-php-mysql/
6. Selamat mencuba.
2/19/2018
BCS1013 Prob Solving & Comp Programming . Lab 20/2/2019
A. Identify a Valid Function Call based on the following function header.
1. Function header: double commission(double rate, double amount)
Function Call:
commission( );
commission(0.5,100);
commission(0.5,100,20);
commission(0.5);
cout<
2. Function header: bool yaGenap(int N)
Function Call:
yaGenap( );
yaGenap(1);
yaGenap(10);
yaGenap(1.5);
cout<
3. Function header: void cetakMessage(String msg, int N)
Function Call:
cetakMessage( );
cetakMessage("hello",5 );
cetakMessage(5,"hello" );
cout<
B. Implement the following functions.
1. Computing a sales commission, given the sales amount and the commission rate.
2. Testing whether a number is even, and returning true if it is.
3. Printing a message a specified number of times.
4. Computing the monthly payment, given the loan amount, number of years, and annual interest rate.
1. Function header: double commission(double rate, double amount)
Function Call:
commission( );
commission(0.5,100);
commission(0.5,100,20);
commission(0.5);
cout<
2. Function header: bool yaGenap(int N)
Function Call:
yaGenap( );
yaGenap(1);
yaGenap(10);
yaGenap(1.5);
cout<
3. Function header: void cetakMessage(String msg, int N)
Function Call:
cetakMessage( );
cetakMessage("hello",5 );
cetakMessage(5,"hello" );
cout<
B. Implement the following functions.
1. Computing a sales commission, given the sales amount and the commission rate.
2. Testing whether a number is even, and returning true if it is.
3. Printing a message a specified number of times.
4. Computing the monthly payment, given the loan amount, number of years, and annual interest rate.
2/13/2018
2/05/2018
BCS1013 Prob Solving & Comp Programming . Lab 6 /2/2019
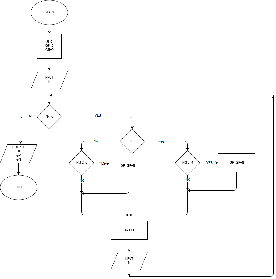
1. Consider the following flowchart:-
I. Identify selection structure and looping structure.
II. State the value that will stops the loop.
III. Write a C++ program to demonstrate the following flowchart.
IV. Run the program several times with various input value. Analyse the output.
V. Explain what is the program intended to do.
I. Identify selection structure and looping structure.
II. State the value that will stops the loop.
III. Write a C++ program to demonstrate the following flowchart.
IV. Run the program several times with various input value. Analyse the output.
V. Explain what is the program intended to do.
2. Print the following output using a C++ program
5 4 3 2 1
5 4 3 2 1
5 4 3 2 1
5 4 3 2 1
3. Print the following output using a C++ program
1
1 2
1 2 3
1 2 3 4
1 2 3 4 5
4. Print the following output using a C++ program
5 4 3 2 1
5 4 3 2 1
5 4 3 2 1
5 4 3 2 1
3. Print the following output using a C++ program
1
1 2
1 2 3
1 2 3 4
1 2 3 4 5
4. Print the following output using a C++ program
5. Print the following output using a C++ program
6.Print the following output using a C++ program
7. Print the following output using a C++ program
2/03/2018
BCS 2233 Object Oriented Programming (BIMB,BCSC,BCNS)
Berikut adalah bahan-bahan pengajaran untuk subjek BCS 2233 Object Oriented Programming.
1) 'Lesson Plan' / Rancangan Pengajaran.
BIBM, BCSC, BCNS
2) Buku Rujukan Y. Daniel Liang, Introduction to Java™ Programming, Brief Version, 11th Edition. 2017. Pearson Education.
3) 'Power point slide' bagi buku di atas boleh di dapati dari sini. Jumlah "Chapter" yang tersedia adalah sebanyak 42 "Slide", namun hanya Chapter di bawah sahaja yang terlibat. Pelajar di sarankan untuk membawa bahan ini (samada buku atau slide yang di cetak) ke kelas.
Chapter 1 Introduction to Computers, Programs, and Java
Chapter 2 Elementary Programming
Chapter 3 Selections
Chapter 5 Loops
Chapter 6 Methods
Chapter 9 Objects and Classes
Chapter 10 Thinking in Objects
Chapter 11 Inheritance and Polymorphism
Chapter 14 JavaFX Basics
Beberapa bahan seperti koding Java yang terdapat di dalam buku ini boleh di dapati daripada sumber berikut.
4. Perisian
Dua jenis Perisian yang perlu ada untuk membangunkan program Java iaitu Enjin Java (JDK) dan Editor untuk menulis program java seperti Jcreator atau Eclipse atau Netbean.
4. Perisian
Dua jenis Perisian yang perlu ada untuk membangunkan program Java iaitu Enjin Java (JDK) dan Editor untuk menulis program java seperti Jcreator atau Eclipse atau Netbean.
4.1 JDK boleh di dapati dari link berikut:-
http://java.sun.com/javase/downloads/index.jsp
a) JCreator. Pelajar akan menggunakan IDE ini bagi membangunkan program java.
Versi percuma JCreator boleh di dapati dari link berikut:- http://www.jcreator.org/download.htm
b) Eclipse http://www.eclipse.org/downloads/packages/eclipse-ide-java-developers/mars1
c)NetBean
? keliru versi yang mana satu perlu di download!!!
Subscribe to:
Comments (Atom)
Cara download Installer windows 10 dalam format ISO
1. Jika anda bercadang untuk download windows 10 melalui website rasmi windows - pilihan untuk download dalam format ISO tidak di berikan. ...
-
Section 8 The String Class 8.1 Suppose that s1 , s2 , s3 , and s4 are four strings, given as follows: String s1 = ...
-
1. Jika anda bercadang untuk download windows 10 melalui website rasmi windows - pilihan untuk download dalam format ISO tidak di berikan. ...
-
1.TOPUP Cepat Susut Jika anda merasa topup prepaid anda cepat susut walaupun tak banyak call- ada baiknya anda semak log call/sms/content ...










